历届欧洲金靴奖 英超历年金靴

作者:臧绿凝 时间:2026-01-14 12:03 阅读数:16583

历届欧洲金靴奖

1、欧洲金靴从1996-97赛季开始颁布,目的表彰在欧洲顶级足球联赛里,每个赛季进球最多的球员。但是一直到1991年,欧洲金靴奖都没有考虑到不同联赛的难易程度,没有评分系数这一说,所以并不规范。1991年有塞浦路斯球员一个赛季打入40球,他们要求获得欧洲金靴奖。所以1991年到1996年欧洲金靴停止颁布。

2、到了1996-97赛季,全新版欧洲金靴登场,引入系数制,即它规定了各个联赛的进球系数,球员们的进球数必须乘以联赛进球系数,才是最终的欧洲金靴得分。

3、五大联赛系数为2,拥有2个欧冠名额的联赛系数为1.5,其他联赛为1。比如前面提到的塞浦路斯联赛系数只有1,那么一个球员打入40球,只有40分,而萨拉赫在英超打入22球,英超的系数是2,所以萨拉赫的积分就是44分。

4、

英超金靴奖历届进球

5、这样就充分考虑到了联赛的难度,也照顾到了广大的巨星们,毕竟巨星是不可能去塞浦路斯踢球的。

6、具体来看2000年至今欧洲金靴奖得主名单:

7、2000-01赛季:拉尔森,苏超35球52.5分

8、2001-02赛季:雅德尔,葡超42球63分

9、拉尔森和雅德尔是唯二两个以1.5的系数分拿到欧洲金靴的球员。在那之后,欧洲金靴的得主都是来自于五大联赛。

10、2002-03赛季:罗伊-马凯,西甲29球58分

11、2003-04赛季:亨利,英超30球60分

12、2004-05赛季:西甲迭戈弗兰,英超亨利,25球50分

13、2005-06赛季:卢卡-托尼,意甲31球62分

14、2006-07赛季:托蒂,意甲26球52分

15、2007-08赛季:C罗,英超31球62分

16、2008-09赛季:迭戈弗兰,西甲32球64分

17、2009-10赛季:梅西,西甲34球68分

18、2010-11赛季:C罗,西甲40球80分

19、2011-12赛季:梅西,西甲50球100分

20、2012-13赛季:梅西,西甲46球92分

21、2013-14赛季:西甲C罗、英超苏亚雷斯,31球62分

22、

23、2014-15赛季:C罗,西甲48球96分

24、2015-16赛季:苏亚雷斯,西甲40球80分

25、2016-17赛季:梅西,西甲37球74分

26、2017-18赛季:梅西,西甲34球68分

27、2018-19赛季:梅西,西甲36球72分

28、2019-20赛季:因莫比莱,意甲36球72分

29、2020-21赛季:莱万,德甲41球82分

30、2021-22赛季:莱万,德甲34球68分(未结束)

英超历年金靴

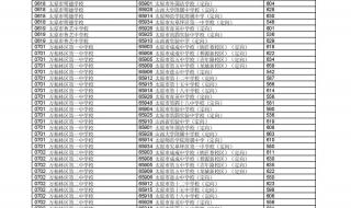
1、赛季              得主                   进球数

2、21/22:孙兴慜(热刺)             23

3、             萨拉赫(利物浦)          23

4、20/21:凯恩(热刺)                 23

5、19/20:瓦尔迪(莱斯特)         23

6、18/19:马内(利物浦)             22

7、             萨拉赫(利物浦)          22

英超金靴奖历届进球

8、             奥巴梅扬(阿森纳)      22

9、17/18:萨拉赫(利物浦)         32

10、16/17:凯恩(热刺)                29

11、15/16:凯恩(热刺)                25

点赞支持 (1134)

须知

天德百科网所有的摄影作品、视频教程、文章内容及教程截图均属于本站原创,版权为本站所有。
天德百科网旨在督促自己学习总结经验,分享知识,提供的软件、插件等相关资源仅供学习交流之用。
天德百科网分享的部分内容来源于网络,旨在分享交流学习,版权为原作者所有。
天德百科网提供的资源仅供日常使用和研究,不得用于任何商业用途。如发现本站软件素材侵犯了您的权益,请附上版权证明联系站长删除,谢谢!
根据二oo二年一月一日《计算机软件保护条例》规定:为了学习和研究软件内含的设计思想和原理,通过安装、显示、传输或者存储软件等方式使用软件的,可不经软件著作权人许可,无需向其支付报酬!鉴此,也望大家转载请注明来源! 下载本站资源或软件试用后请24小时内删除,因下载本站资源或软件造成的损失,由使用者本人承担! 本网站尊重并保护知识产权,根据《信息网络传播权保护条例》,如果我们转载的作品侵犯了您的权利,请邮件通知我们,我们会及时删除。

转载请注明出处>>历届欧洲金靴奖 英超历年金靴